Εξεταστέα ύλη Μαθηματικών Πανελλαδικές 2026 όπως προσδιορίστηκε με την 85065/Δ2/10-07-2025 Υπουργική Απόφαση έχοντας ως θέμα:
Καθορισμός εξεταστέας ύλης για το έτος 2026 για τα μαθήματα που εξετάζονται πανελλαδικά για την εισαγωγή στην Τριτοβάθμια Εκπαίδευση αποφοίτων Γ΄ τάξης Ημερήσιου Γενικού Λυκείου και Γ΄ τάξης Εσπερινού Γενικού Λυκείου
Η ΥΠΟΥΡΓΟΣ ΠΑΙΔΕΙΑΣ, ΘΡΗΣΚΕΥΜΑΤΩΝ ΚΑΙ ΑΘΛΗΤΙΣΜΟΥ
Έχοντας υπόψη:
- Τις παρ. 3 και 4 του άρθρου 106 του ν. 4610/2019 (Α΄ 70).
- Την παρ. 3 του άρθρου 2 του ν. 4186/2013 (Α΄ 193), όπως αντικαταστάθηκε με την παρ. 3 του άρθρου 7 του ν. 4692/2020 (Α΄ 111).
- Το άρθρο 4Α του ν. 4186/2013 (Α΄ 193) που προστέθηκε με την παρ. 5 του άρθρου 100 του ν. 4610/2019 (Α΄ 70) και τροποποιήθηκε με την παρ. 6 του άρθρου 7 του ν. 4692/2020 (Α΄ 111).
- Την περ. α της παρ. 2 του άρθρου 16 του ν. 4186/2013 (Α΄ 193) όπως αναριθμήθηκε και αντικαταστάθηκε με την παρ. 2 του άρθρου 42 του ν. 4351/2015 (Α΄ 164).
- Την περ. α της παρ. 3 του άρθρου 2 του ν. 3966/2011 «Θεσμικό πλαίσιο των Πρότυπων Πειραματικών Σχολείων, Ίδρυση Ινστιτούτου Εκπαιδευτικής Πολιτικής, Οργάνωση του Ινστιτούτου Τεχνολογίας Υπολογιστών και Εκδόσεων “ΔΙΟΦΑΝΤΟΣ” και λοιπές διατάξεις» (Α΄ 118).
- Το άρθρο 90 του Κώδικα νομοθεσίας για την Κυβέρνηση και τα κυβερνητικά όργανα (π.δ. 63/2005, Α΄ 98), το οποίο διατηρήθηκε σε ισχύ με την περ. 22 του άρθρου 119 του ν. 4622/2019 (Α΄ 133).
- Το π.δ. 84/2019 «Σύσταση και κατάργηση Γενικών Γραμματειών και Ειδικών Γραμματειών/Ενιαίων Διοικητικών Τομέων Υπουργείων» (Α΄ 123).
- Το π.δ. 77/2023 «Σύσταση Υπουργείου και μετονομασία-Σύσταση, κατάργηση και μετονομασία Γενικών και Ειδικών Γραμματειών-Μεταφορά αρμοδιοτήτων, υπηρεσιακών μονάδων, θέσεων προσωπικού και εποπτευόμενων φορέων» (Α΄ 130).
- Το π.δ. 27/2025 «Διορισμός Υπουργών, Αναπληρωτή Υπουργού, Υφυπουργών και Αντιπροέδρου της Κυβέρνησης» (Α΄ 44).
- Τις υπ’ αρ. 35/26-06-2025 και 37/04-07-2025 πράξεις του Δ.Σ. του Ινστιτούτου Εκπαιδευτικής Πολιτικής.
- Το υπό στοιχεία 443/ΕΟΕ/08-07-2025 έγγραφο του Εθνικού Οργανισμού Εξετάσεων.
- Το γεγονός ότι από την παρούσα απόφαση δεν προκαλείται δαπάνη, σύμφωνα με την υπό στοιχεία Φ.1/Γ/389/83305/Β1/08-07-2025 εισήγηση του άρθρου 24 του ν. 4270/2014 (Α΄ 143) της Γενικής Διεύθυνσης Οικονομικών Υπηρεσιών του Υπουργείου Παιδείας, Θρησκευμάτων και Αθλητισμού.
- Το γεγονός ότι οι διατάξεις της παρούσας δεν αφορούν σε διοικητική διαδικασία για την οποία υπάρχει υποχρέωση καταχώρισης στο ΕΜΔΔ – ΜΙΤΟΣ, σύμφωνα με το άρθρο 90 του ν.4727/2020 (Α’ 184).
Αποφασίζουμε
Ορίζουμε την εξεταστέα ύλη για το έτος 2026 για τα μαθήματα που εξετάζονται πανελλαδικά για την εισαγωγή στην Τριτοβάθμια Εκπαίδευση αποφοίτων Γ΄ τάξης Ημερήσιου Γενικού Λυκείου και Γ΄ τάξης Εσπερινού Γενικού Λυκείου ως εξής:
ΜΑΘΗΜΑΤΙΚΑ
| ΒΙΒΛΙΟ 2025-2026 |
| ΜΑΘΗΜΑΤΙΚΑ – Β΄ ΜΕΡΟΣ των Ανδρεαδάκη Σ., Κατσαργύρη Β., Μέτη Σ., Μπρουχούτα Κ., Παπασταυρίδη Σ., Πολύζου Γ. |
| Από το βιβλίο: ΜΑΘΗΜΑΤΙΚΑ – Β΄ ΜΕΡΟΣ
Κεφάλαιο 1: Όριο – Συνέχεια συνάρτησης Παρ. 1.1 Πραγματικοί αριθμοί Παρ. 1.2 Συναρτήσεις Παρ. 1.3 Μονότονες συναρτήσεις – Αντίστροφη συνάρτηση Παρ. 1.4 Όριο συνάρτησης στο
Παρ. 1.5 Ιδιότητες των ορίων, χωρίς τις αποδείξεις της υποπαραγράφου “Τριγωνομετρικά όρια” Παρ. 1.6 Μη πεπερασμένο όριο στο
Παρ. 1.7 Όρια συνάρτησης στο άπειρο Παρ. 1.8 Συνέχεια συνάρτησης |
| Κεφάλαιο 2: Διαφορικός Λογισμός
Παρ. 2.1 Η έννοια της παραγώγου, χωρίς την υποπαράγραφο “Κατακόρυφη εφαπτομένη” Παρ. 2.2 Παραγωγίσιμες συναρτήσεις – Παράγωγος συνάρτηση, χωρίς τις αποδείξεις των τύπων (ημx)’ = συνx και (συνx)’ = -ημx Παρ. 2.3 Κανόνες παραγώγισης, χωρίς την απόδειξη του θεωρήματος που αναφέρεται στην παράγωγο γινομένου συναρτήσεων Παρ. 2.4 Ρυθμός μεταβολής Παρ. 2.5 Θεώρημα Μέσης Τιμής Διαφορικού Λογισμού Παρ. 2.6 Συνέπειες του Θεωρήματος Μέσης Τιμής Παρ. 2.7 Τοπικά ακρότατα συνάρτησης, χωρίς το τελευταίο θεώρημα (κριτήριο της 2ης παραγώγου) |
| Παρ. 2.8 Κυρτότητα – Σημεία καμπής συνάρτησης (θα μελετηθούν μόνο οι συναρτήσεις που είναι δύο, τουλάχιστον, φορές παραγωγίσιμες στο εσωτερικό του πεδίου ορισμού τους)
Παρ. 2.9 Ασύμπτωτες – Κανόνες De L’ Hospital Παρ. 2.10 Μελέτη και χάραξη της γραφικής παράστασης μιας συνάρτησης |
| Κεφάλαιο 3: Ολοκληρωτικός Λογισμός
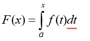
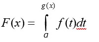
Παρ. 3.1 Αόριστο ολοκλήρωμα (μόνο η υποπαράγραφος “Αρχική συνάρτηση” που θα συνοδεύεται από πίνακα παραγουσών συναρτήσεων ο οποίος θα περιλαμβάνεται στις διδακτικές οδηγίες) Παρ. 3.4 Ορισμένο ολοκλήρωμα Παρ. 3.5 Η συνάρτηση
Υπόδειξη – οδηγία: Η εισαγωγή της συνάρτησης
γίνεται για να αποδειχθεί το Θεμελιώδες Θεώρημα του Ολοκληρωτικού Λογισμού και να αναδειχθεί η σύνδεση του Διαφορικού με τον Ολοκληρωτικό Λογισμό. Για τον λόγο αυτό δεν θα διδαχθούν εφαρμογές και ασκήσεις που αναφέρονται στη συνάρτηση
και γενικότερα στη συνάρτηση
Παρ. 3.7 Εμβαδόν επιπέδου χωρίου, χωρίς την εφαρμογή 3 |
Επισημάνσεις
- Τα θεωρήματα, οι προτάσεις, οι αποδείξεις και οι ασκήσεις που φέρουν αστερίσκο δεν διδάσκονται και δεν εξετάζονται.
- Οι εφαρμογές και τα παραδείγματα των βιβλίων δεν εξετάζονται ούτε ως θεωρία ούτε ως ασκήσεις, δύνανται, ωστόσο, να χρησιμοποιηθούν ως προτάσεις για τη λύση ασκήσεων ή την απόδειξη άλλων προτάσεων.
- Εξαιρούνται από την εξεταστέα ύλη:
α) οι εφαρμογές και οι ασκήσεις που αναφέρονται σε λογαρίθμους με βάση διαφορετική του e και του 10 και
β) οι ασκήσεις του σχολικού βιβλίου που αναφέρονται σε τύπους τριγωνομετρικών αριθμών αθροίσματος γωνιών, διαφοράς γωνιών και διπλάσιας γωνίας.
Εξεταστέα ύλη Μαθηματικών Πανελλαδικές 2026 όπως προσδιορίστηκε με την 85065/Δ2/10-07-2025 Υπουργική Απόφαση έχοντας ως θέμα:
Καθορισμός εξεταστέας ύλης για το έτος 2026 για τα μαθήματα που εξετάζονται πανελλαδικά για την εισαγωγή στην Τριτοβάθμια Εκπαίδευση αποφοίτων Γ΄ τάξης Ημερήσιου Γενικού Λυκείου και Γ΄ τάξης Εσπερινού Γενικού Λυκείου
που βρίσκεται στον υπερσύνδεσμο:
https://drive.google.com/file/d/1yq6554Tp9hShOJ_WAHJYeyiFMiSOeYLj/view?usp=sharing

